Les élèves ont reçu un verre de lunettes retrouvé sur la scène de crime et transmis par l’inspecteur Amédé Tective.

L’objectif était de déterminer quelle était la correction réalisée par ce verre de lunettes afin d’en déduire le défaut de l’œil qu’il corrige (myopie ou hypermétropie).
En croisant ces résultats avec les informations à propos des personnes soupçonnées, il sera peut être possible de trouver à qui ce verre appartient.
Pour y parvenir, les différents groupes ont utilisé un objet lumineux imprimé sur un transparent.
Une partie de la lumière émise par l’objet traverse le verre de lunettes, la lumière voit alors son trajet modifié. En plaçant un écran à une certaine distance après le verre de lunettes, il est possible d’observer sur l’écran l’image nette de l’objet formée par le verre de lunettes.


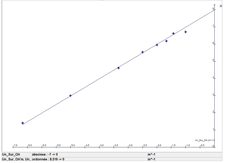
En modifiant la distance « objet-verre de lunettes » et en déterminant à chaque fois la distance « verre de lunettes-écran » permettant d’observer l’image nette, il a été possible d’obtenir une série de mesures.

En utilisant ces mesures, la formule de conjugaison (relation mathématique liant les positions de l’objet et de l’image par rapport au verre de lunettes et la distance focale de ce dernier) et un logiciel permettant de tracer des courbes et d’effectuer un travail de modélisation, les élèves ont pu calculer la distance focale du verre de lunettes.

Il a donc été possible, grâce à la modélisation, de savoir si le propriétaire de ce verre de lunettes est d’une part myope ou hypermétrope et d’autre part quelle est la valeur de la correction.
Bravo à l’ensemble des groupes pour le travail accompli : Il a fallu effectuer un travail d’analyse très poussé pour réussir à parvenir à un résultat fiable.
Sans nul doute, cette précieuse information permettra à Amédé Détective de progresser dans l’avancée de l’enquête.







